Acceder
Blog Opciones desde cero
Blog Opciones desde cero

Blog Opciones desde cero

opciones de la alpha hasta la theta
119 suscriptores
Cinco estrategias para comenzar a invertir con opciones
Invertir usando opciones financieras, muchas veces queda destinado para inversores con conocimientos avanzados.Las opciones como cualquier otro derivado, no están exentos de riesgos y hay que entender su funcionamiento para poder operar con ellas, ya sea para utilizarlas como herramienta de cobertura o para operar buscando beneficios con ellas. 
Opciones E-Mini SP500, ¿Qué son y cómo funcionan?
En este artículo explicaremos qué son y cómo funcionan las opciones E-Mini SP500, uno de los derivados más exitosos de los últimos años debido a su mayor facilidad de negociación por sus requisitos más laxos. ¿Qué es el SP 500?El S&P 500 es un índice bursátil de las 500 empresas más...
¿Qué es el valor intrínseco y el valor temporal de una opción?
Las opciones son el derivado financiero más versátil con diferencia, tal y como ya hemos explicado en el post ¿Qué es una opción y para qué sirve? (es recomendable leerlo para empezar a entender las opciones). Pero también es un producto complejo de valorar y que al principio puede ser costos de entender.
Estrategia con opciones: Short Butterfly, ¿qué es?
En el siguiente post voy a explicar una estrategia con opciones muy común llamada "Short Butterfly". Veremos qué significa, como realizarla, en qué condiciones desarrollarla y pondré ciertos ejemplos basándome en un graficador de opciones con datos reales extraídos de la plataforma de iBroker para opciones. Short Butterfly, ¿qué es?
Opciones: relación entre precio subyacente y precio de ejercicio
La moneyness de las opciones financieras mide la distancia entre el precio del subyacente y el precio de ejercicio (Strike) y según la distancia entre estos dos precios, el del subyacente y el de ejercicio, podemos clasificar las opciones en tres categorías.
Bear Spread con Opciones ¿Para qué sirve?
El Bear Spread, al igual que la versión Bull, se forma con dos opciones call o dos opciones put, una de ellas comprada, otra vendida y ambas con misma fecha de vencimiento. Cuando se opera una Bear Spread se tiene una expectativa neutral-bajista, ya que nos beneficiaremos siempre y cuando el activo subyacente no alcance o sobrepase un determinado precio
Bull Spread en opciones: ¿Qué es y cómo se hace?
En artículos anteriores ya vimos estrategias en las que nuestra estrategia con opciones se beneficiaba de que la cotización del subyacente se mantuviera estable o se disparase en cualquier dirección. En esas estrategias, las cunas y conos, lo que realmente importaba era si el subyacente se movía mucho o no, pero no la dirección que pudiera tomar
¿Cómo evolucionan las griegas según el vencimiento y el precio de ejercicio?
En entradas anteriores de este blog ya hemos hablando de las griegas de una opción, las variables que afectan a la prima de una opción. Ahora vamos a ver cómo varía cada griega en función del precio de ejercicio o strike y del vencimiento de cada opción.
Estrategia con opciones: Call Spread alcista
En este artículo haré una introducción sencilla a las opciones como derivados financieros y sus elementos básicos para poder comenzar a operar con ellas. Al final del mismo haré una introducción a la estrategia Call Spread Alcista analizando sus ventajas y desventajas. 
Operando opciones con el cono de volatilidad
El cono de volatilidad es una herramienta que puede ser utilizada para operar con opciones. El cono de volatilidad es un gráfico en el cual se compara la volatilidad histórica (del activo subyacente) con la volatilidad implícita ("volatilidad teórica").
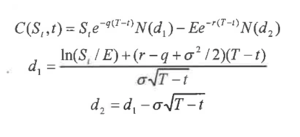
¿Cómo se determina la prima de una opción?
La prima de una opción se determina por el valor que toman seis variables: Precio actual del subyacente (S): Precio del activo del cual depende la opción, Precio de Ejercicio (E), Volatilidad del subyacente (o), Tiempo al vencimiento (T-t), Tipo de interés libre de riesgo (r) y Dividendos pagados por el subyacente (q).
Opciones: compra y venta de volatilidad
En posts de blog anteriores ya hemos explicado qué es una opción, de qué se compone el valor de una opción y cómo evoluciona la prima de una opción según el subyacente y el precio de ejercicio. Hoy vamos a darle una vuelta de tuerca más al concepto de una opción que nos ayudará a entender determinados comportamientos de estos derivados.
Rankiano desde hace casi 23 años

Portavoz oficial de la empresa editora de este sitio web Rankia