Acceder
Blog Opciones desde cero
Blog Opciones desde cero

Blog Opciones desde cero

opciones de la alpha hasta la theta
119 suscriptores
Cinco estrategias para comenzar a invertir con opciones
Invertir usando opciones financieras, muchas veces queda destinado para inversores con conocimientos avanzados.Las opciones como cualquier otro derivado, no están exentos de riesgos y hay que entender su funcionamiento para poder operar con ellas, ya sea para utilizarlas como herramienta de cobertura o para operar buscando beneficios con ellas. 
Opciones E-Mini SP500, ¿Qué son y cómo funcionan?
En este artículo explicaremos qué son y cómo funcionan las opciones E-Mini SP500, uno de los derivados más exitosos de los últimos años debido a su mayor facilidad de negociación por sus requisitos más laxos. ¿Qué es el SP 500?El S&P 500 es un índice bursátil de las 500 empresas más...
CME Group (Chicago mercantile Exchange) dió en 2019 un paso más en la puesta en disposición de productos financieros para inversores minoristas. CME Group¿Por qué surgieron los contratos micro?Introdujo en dicho año los Micro Futuros referenciados a los índices bursátiles y a otros productos.
Las opciones son derivados financieros en los que el precio (prima) depende del precio del activo subyacente. Originalmente las opciones fueron creadas para la cobertura y tanto la call cubierta como la put protectora pretenden proteger la posición tomada en el activo subyacente.
Principales diferencias entre opciones y futuros
Las opciones y los futuros son derivados financieros que pueden tener un elevado apalancamiento. Debido a ello conviene tener presente que son, así como las diferencias entre los dos. También vamos a ver un ejemplo real para ver la diferencia entre una opción y un futuro.
Estrategia de inversión con opciones: el caso del "Risk Reversal"
La estrategia de opciones conocida como “Risk Reversal” o “Combo”, es una estrategia formada por la venta de una opción Put, a un determinado strike, y la compra de una opción Call a un strike mayor, ambas opciones con la misma fecha de expiración.
Posiciones sintéticas con opciones: una alternativa a los ETF´s
Si eres un inversor o trader que opera los ETF’s americanos como el SPY (S&P500), el QQQ (Nasdaq 100) o el EEM (Emergentes), ya sabrás que debido a la entrada en vigor de la nueva directiva Mifid II, ya no es posible que un particular opere dichos productos.
Opciones: relación entre precio subyacente y precio de ejercicio
La moneyness de las opciones financieras mide la distancia entre el precio del subyacente y el precio de ejercicio (Strike) y según la distancia entre estos dos precios, el del subyacente y el de ejercicio, podemos clasificar las opciones en tres categorías.
¿Cómo evolucionan las griegas según el vencimiento y el precio de ejercicio?
En entradas anteriores de este blog ya hemos hablando de las griegas de una opción, las variables que afectan a la prima de una opción. Ahora vamos a ver cómo varía cada griega en función del precio de ejercicio o strike y del vencimiento de cada opción.
Operando opciones con el cono de volatilidad
El cono de volatilidad es una herramienta que puede ser utilizada para operar con opciones. El cono de volatilidad es un gráfico en el cual se compara la volatilidad histórica (del activo subyacente) con la volatilidad implícita ("volatilidad teórica").
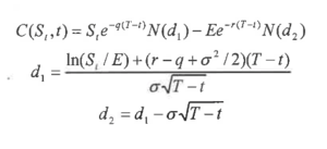
¿Cómo se determina la prima de una opción?
La prima de una opción se determina por el valor que toman seis variables: Precio actual del subyacente (S): Precio del activo del cual depende la opción, Precio de Ejercicio (E), Volatilidad del subyacente (o), Tiempo al vencimiento (T-t), Tipo de interés libre de riesgo (r) y Dividendos pagados por el subyacente (q).
Rankiano desde hace casi 23 años

Portavoz oficial de la empresa editora de este sitio web Rankia